我們都知道數學想要獲取高分,是不能靠死記硬背、生搬硬套使用公式的,需要掌握一定的做題方法和技巧。因此,將陸續推出考研數學每日一練模塊,希望能幫助到2018考研的小伙伴們。

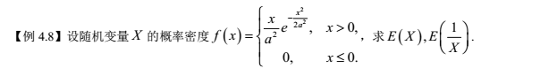
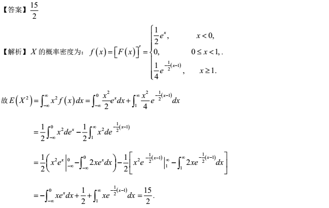
公布前一天答案:

以上就是今天的全部內容,想要獲取更多資訊,請持續關注本網站!


掃碼添加獲取各院校復試名單及錄取名單
【版權與免責聲明】本站所提供的內容除非來源注明研線網,否則內容均為網絡轉載及整理,并不代表本站贊同其觀點和對其真實性負責。文章由本站編輯整理發出,僅供個人交流學習使用。如本站稿件涉及版權等問題,請聯系本站管理員予以更改或刪除。